Carbin – Die eindimensionale Form des Kohlenstoffs
Elementarer Kohlenstoff erscheint in vielen verschiedenen Varianten, darunter Diamant, Fullerene und Graphen. Ihre einzigartigen strukturellen, elektronischen, mechanischen, optischen und Transport-Eigenschaften besitzen eine breite Palette von Anwendungen in der Physik, der Chemie und den Materialwissenschaften. Dazu gehören Verbundwerkstoffe, nanoskalige lichtemittierende Materialien sowie Materialien für Energy Harvesting, der Gewinnung elektrischer Energie aus der Umgebung. Innerhalb der Kohlenstoff-Familie ist bisher einzig Carbin, die wahrhaftig eindimensionale Form des Kohlenstoffs, nicht erfolgreich synthetisiert worden, obwohl es seit nunmehr über 50 Jahren im Fokus wissenschaftlicher Studien steht. Seine extreme Instabilität unter Umgebungsbedingungen hat bisher einen endgültigen experimentellen Beweis seiner Existenz verhindert. Einem internationalen Forscherteam ist es nun gelungen, eine neuartige Methode für die Massenproduktion von Kohlenstoffketten mit mehr als 6400 Kohlenstoffatomen zu entwickeln, bei der dünne, doppelwandige Kohlenstoffnanoröhren als Schutzumgebung für die Ketten dienen. Dieses Ergebnis wurde in der Fachzeitschrift Nature Materials veröffentlicht und stellt einen eleganten Wegbereiter für das Ziel der Massenproduktion von Carbin dar. Neben den potentiellen Anwendungen ermöglichen diese Ergebnisse, grundlegende Fragen zu Elektronenkorrelationen, Elektron-Phonon-Wechselwirkungen und Quantenphasenübergängen in eindimensionalen Materialien zu beantworten.

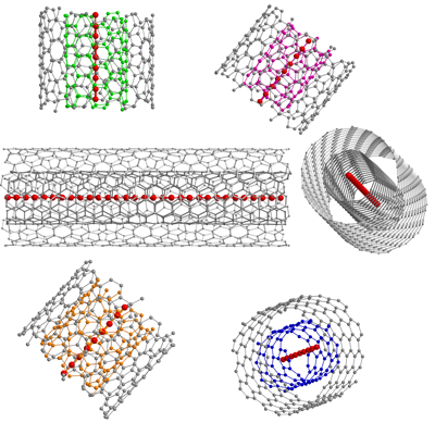
Schematische Darstellung eingeschlossener ultralanger, linearer, sp-hybridisierter Kohlenstoffketten in verschiedenen doppelwandigen Kohlenstoffnanoröhren / Bildquelle: Lei Shi / Fakultät für Physik, Universität Wien
Bereits in seiner elementaren Form führt die hohe Bindungsvielseitigkeit von Kohlenstoff zu einer Vielzahl wohlbekannter Erscheinungsformen wie Diamant und Graphit. Eine einzelne Graphitlage, genannt Graphen, lässt sich aufrollen oder falten, um Kohlenstoffnanoröhren oder Fullerene zu erhalten. Für grundlegende Arbeiten zu Graphen und Fullerenen wurden 2010 beziehungsweise 1996 bereits Nobelpreise vergeben. Obwohl die Existenz von Carbin, einer unendlich langen Kette von Kohlenstoffatomen, schon 1885 von Adolf von Baeyer (Nobelpreis 1905 für seine Beiträge zur organischen Chemie) vorgeschlagen wurde, sind Wissenschaftler bisher nicht in der Lage gewesen, dieses Material künstlich herzustellen. Von Baeyer ging sogar davon aus, dass Carbin niemals nachweisbar sein würde, da seine hohe Reaktivität immer zu seiner sofortigen Zerstörung führen würde. Gleichwohl wurden in den vergangenen 50 Jahren erfolgreich Kohlenstoffketten von zunehmender Länge synthetisiert.
Der bisherige Rekord war eine Kette von etwa 100 Kohlenstoffatomen (2003). Mit der erstmaligen Demonstration von mikrometerlangen Ketten in der heute in Nature Materials erschienenen Studie wurde dieser Rekord jetzt um mehr als einen Faktor 50 übertroffen. Forscher der Universität Wien unter der Leitung von Thomas Pichler haben einen neuartigen, einfachen Ansatz entwickelt, um Kohlenstoffketten mit einer Rekordlänge von mehr als 6400 Kohlenstoffatomen zu stabilisieren. Dazu verwenden sie den begrenzten Raum innerhalb einer doppelwandigen Kohlenstoffnanoröhre als Nanoreaktor, um ultralange Kohlenstoffketten in Masse zu produzieren. In Zusammenarbeit mit den Gruppen von Kazu Suenagas am AIST in Japan, Lukas Novotny an der ETH Zürich und der Theoriegruppe von Angel Rubio am Max-Planck-Institut für Struktur und Dynamik der Materie am CFEL in Hamburg und an der UPV/EHU in San Sebastián wurde mithilfe einer Vielzahl ausgefeilter, sich gegenseitig ergänzender Methoden die Existenz der Ketten eindeutig nachgewiesen. Dazu gehören temperaturabhängige Nah- und Fernfeld-Raman-Spektroskopie mit verschiedenen Lasern (für die Untersuchung der elektronischen und Vibrations-Eigenschaften), hochaufgelöste Transmissionselektronenmikroskopie (für die direkte Beobachtung des Carbins innerhalb der Kohlenstoffnanoröhren) und Röntgenstreuung (für die Bestätigung der massenweisen Herstellung der Ketten). Der direkte experimentelle Nachweis eingeschlossener ultralanger, linearer Kohlenstoffketten, welche zwei Größenordnungen länger als die bisher längsten nachgewiesenen Ketten sind, kann als vielversprechender Schritt in Richtung des langersehnten Ziels der Entschlüsselung des Heiligen Grals wahrhaftiger eindimensionaler Kohlenstoffallotrope, des Carbins, gesehen werden, so Lei Shi, Erstautor der Arbeit.
Carbin ist im Inneren von doppelwandigen Kohlenstoffnanoröhren sehr stabil. Diese Eigenschaft ist entscheidend für seine Anwendung in zukünftigen funktionellen Materialien. Nach theoretischen Modellen übertreffen die mechanischen Eigenschaften des Carbins alle bekannten Materialien und damit auch Graphen und Diamant (z.B. ist es 40 mal steifer als Diamant, doppelt so steif wie Graphen und hat eine höhere Zugfestigkeit als alle anderen kohlenstoffbasierten Materialien). Die elektrischen Eigenschaften des Carbins sind Abhängig von der Länge der eindimensionalen Kette, was zusätzlich zu seinem allgemeinen Reiz für die Physik und die Chemie neuartige nanoelektronische Anwendungen zu Quanten-Spintransport und magnetischen Halbleitern nahelegt. Diese Arbeit stellt ein Beispiel einer sehr gut funktionierenden und ergebnisreichen Zusammenarbeit von Experimenten und Theorie dar, um die elektronischen und mechanischen Eigenschaften niedrigdimensionaler kohlenstoffbasierter Materialien zu entschlüsseln und zu kontrollieren. Sie führte zur Synthese und Charakterisierung der längsten je erzeugten linearen Kohlenstoffkette. Diese Erkenntnisse stellen die grundlegende Testumgebung für experimentelle Studien zu Elektronenkorrelationen und quantendynamischen Phasenübergängen in begrenzten Geometrien zur Verfügung, welche bislang nicht möglich waren. Zudem sind die mechanischen und elektronischen Eigenschaften von Carbin außergewöhnlich und eröffnen eine Fülle neuer Möglichkeiten für die Entwicklung von nanoelektronischen und optomechanischen Bauelementen.
Originalpublikation: Lei Shi, Philip Rohringer, Kazu Suenaga, Yoshiko Niimi, Jani Kotakoski, Jannik C. Meyer, Herwig Peterlik, Marius Wanko, Seymur Cahangirov, Angel Rubio, Zachary J. Lapin, Lukas Novotny, Paola Ayala, and Thomas Pichler, "Confined linear carbon chains as a route to bulk carbyne," Nature Materials, Advance Online Publication (April 4, 2016), DOI: 10.1038/NMAT4617
Aktuelle Onlineartikel
-
27. 04. 2026 Warum kommt es zu Kurzschlüssen in Festkörper-Batterien?
-
27. 04. 2026 Neuer internationaler Masterstudiengang „Battery Technologies“ startet zum Wintersemester 2026/27
-
27. 04. 2026 Nanofiltration – Wasser wirksam von Glyphosat befreien
-
22. 04. 2026 ZVO-Oberflächentage 2026 erstmals in Karlsruhe: Jetzt anmelden!
-
01. 04. 2026 Effizientere Elektromotoren durch Temperaturkontrolle – Künstliche Intelligenz überwacht Antriebe im Betrieb
-
01. 04. 2026 Elektrochemisches Verfahren ermöglicht Rückgewinnung wertvoller Rohstoffe