– Oberflächentechniker informieren aus Forschung und Industrie
Die ZVO-Oberflächentage haben sich in den letzten Jahren zu der wichtigsten Veranstaltung der Oberflächentechnikbranche entwickelt. Auch in diesem Jahr bot der Veranstalter ZVO, Zentralverband Oberflächentechnik e. V., wieder ein beeindruckendes Programm mit 90 Fachvorträgen sowie einer umfangreichen Industrieausstellung. Belohnt wurde die Arbeit des Veranstalters mit einer hohen Teilnehmerzahl; der hohe Anteil an jungen Fachleuten zeigte das große Interesse am Fachgebiet Oberflächentechnik und stimmt hoffnungsvoll, dass die Branche die hohen Erwartungen aus allen Teilen der Industrie auch in den nächsten Jahren erfüllen wird. Dies spiegelt sich auch in den Themen der Fachvorträge wieder, die sich mit neuen Entwicklungen für die Herstellung von Brennstoffzellen oder Energiespeichern, aber auch mit Verfahren zur Einsparung von Ressourcen und Energie befassten. Auf der anderen Seite sind Möglichkeiten zur Bewältigung der enormen bürokratischen Anforderungen oder zur Erfüllung der zahlreichen gesetzlichen Vorgaben im Hinblick auf Umwelt- und Arbeitsschutz oder weiteren politischen Ziele gefragt. In dieser und der nächsten Ausgabe der WOMag werden die Inhalte der Fachvorträge zusammengefasst wiedergegeben.

Jörg Püttbach (Bild: ZVO/OT2023/S. Hobbiesiefken)
ZVO-Vorstandsvorsitzender Jörg Püttbach eröffnete die ZVO Oberflächentage 2023 am neuen Veranstaltungsort, dem Mercure Hotel MOA in Berlin, und freute sich, etwa 540 Teilnehmer und Teilnehmerinnen zur Tagung begrüßen zu können. Er versprach dem Fachpublikum ein interessantes Tagungsprogramm mit 90 Fachvorträgen zu verschiedenen Themen aus dem Gebiet der Oberflächentechnik sowie eine umfangreiche Industrieausstellung mit 70 Unternehmen und Facheinrichtungen. Als Ehrengäste begrüßte er Prof. Dr. Möbius und Prof. Dr. Steinhäuser. Er zeigte sich zudem erfreut, dass Studierende der Universität Ilmenau und der Fachschule für Galvano- und Oberflächentechnik Schwäbisch Gmünd den Weg nach Berlin gefunden hatten. Seinem Vorgänger Walter Zeschky sprach Püttbach, der seit Beginn des Jahres das Amt des ZVO-Vorsitzenden innehat, seinen Dank für dessen langjährige Arbeit für den ZVO aus.
Weniger positiv äußerte sich Jörg Püttbach zur Lage der Unternehmen aus dem Bereich Galvano- und Oberflächentechnik. Die gesetzlichen Herausforderungen – beginnend bei den Anforderungen aus REACh über die Verminderung von Kohlenstoffdioxidemissionen, den verstärkten Einsatz von regenerativen Energien in Verbindung mit der Reduzierung klassischer Energieträger oder den Vorgaben zu Lieferketten – sind inzwischen zur Gefahr für die wirtschaftliche Weiterentwicklung geworden. Zur Erfüllung der Gesetze und Auflagen fallen in zunehmendem Maße bürokratische Arbeiten von kaum mehr zu bewältigendem Umfang an. Darüber hinaus nehmen steigende Zinsen, unkalkulierbare Kosten für Rohstoffe, fehlende Fachkräfte oder unzureichende Infrastruktur den Unternehmen den Spielraum, um der stärker werdenden globalen Konkurrenz Paroli zu bieten. Ganz besonders ärgerlich ist dies, da die Regierung in Deutschland angeblich davon überzeugt ist, dass der Mittelstand das Rückgrat der deutschen Industrie darstellt. Die Unternehmen der Oberflächentechnikbranche sind nahezu vollständig in diesen Bereich einzuordnen und liefern zudem ein Produkt beziehungsweise eine Dienstleistung, die bei fast jedem Produkt zu finden ist und unersetzbare Aufgaben übernimmt: Schutz wertvoller Rohstoffe, Gewährleistung ausreichend langer Lebensdauern, Minimierung von Rohstoffverbrauch oder Erzielung notwendiger Eigenschaften – was sich besonders eindrucksvoll an allen Produkten im Bereich der Datenverarbeitung und IT zeigt. Zu Recht fordert der Zentralverband Oberflächentechnik e. V. (ZVO) von der Politik bessere Rahmenbedingungen für die Wirtschaft, sei es beim Energiepreis, der Regulierung von chemischen Produkten oder der Gewinnung von Fachkräften.
Ehrungen
Im Rahmen der ZVO-Oberflächentage wurden auch in diesem Jahr wieder der traditionelle Nachwuchsförderpreis der DGO vergeben sowie weitere Ehrungen vorgenommen.
Der Nachwuchsförderpreis 2023 der Deutschen Gesellschaft für Galvano- und Oberflächentechnik e. V. (DGO), überreicht durch Dr. Klaus Wojczykowski ging an Dr. Maria del Carmen Stich von Technischen Universität Ilmenau für ihre Dissertation mit dem Thema Analysis of the physical properties and photoelectrochemical behavior of c-Si/a-SiC:H(p) photocathodes for solar water splitting. Die Arbeit beschäftigt sich mit Fragen zur Energieerzeugung unter Nutzung von galvanotechnischen Verfahren und der Möglichkeit, hierdurch der Galvanotechnik neue Anwendungsfelder zu eröffnen. Die von Dr. Stich untersuchten Systeme bestehen aus amorphem Siliciumcarbid auf kristallinem Silicium. In ihrer Arbeit hat sie den Einfluss des Dotierungsgrads und der Oberflächenterminierung von Siliziumcarbid auf die Dynamik der Ladungsträger sehr sorgfältig untersucht. Die Arbeit ist ein sehr gut abgestimmter Dreiklang aus Herstellung, Charakterisierung und konkreten Anwendungen der Schichten. Die so entstandenen Schichten mit großer Oberfläche haben ein hohes Anwendungspotential für die photolytische Wasserzersetzung. Das stromlose Verfahren steht in unmittelbarer Konkurrenz zur elektrolytischen Wasserzersetzung.
Prof. Bertram Reinhold, Audi AG, Ingolstadt, erhielt den Heinz-Leuze-Preis für das Jahr 2023 für seinen Beitrag mit dem Titel Herausforderungen für die Oberflächentechnik: Mischbauweise im Automobilbau, erschienen in der Zeitschrift Galvanotechnik. In seinem didaktisch sehr gut gestalteten Artikel geht Prof. Reinhold auf die wissenschaftlich-technischen Herausforderungen ein, die sich aus Anforderungen an die Gewichtsreduktion im modernen Automobilbau durch den Einsatz von verschiedenen Materialien, wie zum Beispiel hochfeste Stähle, Aluminium und CFK kombiniert (Mischbau), ergeben. Sehr gut nachvollziehbar erläutert er das Spannungsfeld zwischen Sicherheit, Gewichtsreduktion und Materialstabilität, letztere vor allem im Hinblick auf Korrosionsprozesse. Die verschiedenen Fügetechniken im Mischbau werden kritisch gegeneinander abgewogen. Ein zentraler Aspekt des Artikels sind Korrosionsschutzsysteme und die entsprechenden Vorbehandlungen. Das Korrosionsverhalten der verschiedenen Materialien wird sehr gut nachvollziehbar anhand von elektrochemischen Polarisationskurven diskutiert und in Bezug zum Mischbau gesetzt. Ausführungen zu konstruktionstechnischen Aspekten wie Wasserablauf, Anordnung von Dichtungen und Einstellung von Reibwerten runden die Diskussion ab. Es wird eindrucksvoll klar, dass Korrosion eine Systemeigenschaft ist.
In Anerkennung seiner herausragenden Leistungen in Forschung und Entwicklung auf dem Gebiet der Galvano- und Oberflächentechnik verlieh die Deutsche Gesellschaft für Galvano- und Oberflächentechnik e. V. (DGO) Dr. Andreas Zielonka den Jacobi-Preis 2023, überreicht durch DGO-Vorsitzenden Dr. Martin Metzner. Nach dem Studium der Elektrotechnik, Elektrochemie und Galvanotechnik sowie der Promotion an der TU Ilmenau hat Dr. Zielonka während der Leitung des fem Forschungsinstitut Edelmetalle + Metallchemie in Schwäbisch Gmünd von 1993 bis 2022 die Galvanotechnik auf wichtigen Gebieten in Forschung und Entwicklung maßgeblich gefördert. Zu nennen sind vor allem die Verfahren zur galvanischen Hochgeschwindigkeitsabscheidung, elektrochemische Methoden zur Online-Prozessüberwachung oder die Entwicklung und Einführung neuer funktioneller Oberflächen auf Basis von Legierungs- und Dispersionsschichten, Multilayersystemen, Gradientenschichten sowie Nanosystemen. Arbeiten zu diesen Themen wurden in mehr als 200 Fachbeiträgen in nationalen und internationalen Fachzeitschriften sowie in Form von Vorträgen auf nationalen und internationalen Kongressen veröffentlicht.
Besondere Bedeutung für die Galvanotechnik hat die in den letzten Jahren erfolgte Erweiterung seiner Forschungsschwerpunkte auf die aktuellen Themenfelder Brennstoffzellen, Batterieforschung und Wasserstofftechnik. Zentrale Themen sind dabei materialsparende, etwa nanoskalige Strukturen für die katalytisch wirksamen Edelmetalle und deren Legierungen sowie effiziente und leicht verfügbare Alternativen. Im Rahmen der Neugliederung des fem durch Dr. Zielonka im Schwerpunkt Elektrochemische Energiesysteme kommt dem Institut international eine besondere Bedeutung zu. Die Entwicklung galvanotechnischer Verfahren für diese bedeutenden Zukunftsfelder ist für die Branche von zentraler Bedeutung.
Festvortrag
Zum Abschluss der feierlichen Eröffnung zeigte Regina Halmich, Pionierin und eine der erfolgreichsten Frauenboxerinnen weltweit, dem Publikum mit ihrer Keynote Bloß nicht in den Seilen hängen was Erfolg im Ring und im Business gemeinsam haben.

Regina Halmich (Bild: ZVO/OT2023/S. Hobbiesiefken)
Sie gab einen Überblick über ihre einzigartige Karriere, mit ihren Höhen und Tiefen. Dabei zog sie Parallelen zu den Herausforderungen, mit denen jeder Einzelne sich täglich konfrontiert sieht. Wie sie betonte, ist Weltmeister zu werden eine Sache, es zu bleiben, eine andere. Vom Verfolger wird man zum Verfolgten. Alle wollen einem den Weltmeistertitel – oder in der Wirtschaft – die Marktführerschaft streitig machen. Wie sie mehrmals betonte, wird man Weltmeister mit Kopf und Kampfgeist. Und, wie Halmich ausdrückte: Wer nicht topfit und hundertprozentig konzentriert an eine Sache herangeht, der geht k.o., im Boxen und anderswo.

(Bilder: ZVO/OT2023/S. Hobbiesiefken)
Fachvorträge
Nachfolgend sowie in der nächsten Ausgabe der WOMag werden Inhalten der Fachvorträge zusammenfassend wiedergegeben.
Funktionsschichten
Einebnung in galvanisch Nickelschichten
Wie Dr. Adriana Ispas, Technische Universität Ilmenau, einleitend betonte, spielt die Einebnung für viele galvanische Schichten eine wichtige Rolle, beispielsweise zur Einebnung von Mikrorauheiten einer Oberfläche, aber auch zum Ausgleich der unterschiedlichen lokalen Stromdichten bei komplex geformten Teilen. Der zweitgenannte Effekt lässt sich auch durch den Einsatz von Hilfsanoden lösen, allerdings mit einem hohen manuellen Aufwand. Ausschlaggebend ist hier die Diffussionsschicht, die bei Makroprofilen der Struktur folgen kann, während dies für Mikroprofile nicht gilt. Das Resultat ist eine schlechte Mikrostreuung. Von Mikroprofilen wird bei Rautiefen beziehungsweise Rauhöhen von weniger als 0,5 mm gesprochen. Zur Bestimmung der Wirkungsweise der Einebnung dient die Größe mit der Bezeichnung Leveling, bei welcher der Ausgleich einer spaltartigen Vertiefung bestimmt wird.

Struktur des verwendeten Substrats (Schallplattenmatrize, oben) und ein Beispiel für die Einebnung durch PPS (150 mg/l) (Bild: A. Ispas)
Für die Untersuchung dieser Art der Einebnung wurde ein standardmäßiger Elektrolyt auf Basis von Nickelsulfat eingesetzt. Als Zusatz dienten unter anderem Stoffe wie Saccharin, Natrium-Allyl-Sulfonat oder Natriumdodecylsulfat. Saccharin reduziert die Spannungen, Natriumdodecylsulfat ist Netzmittel und Natrium-Allyl-Sulfonat ist ein Glanzbildner. Während primäre Glanzbildner nicht allein helle glänzende Schichten erzeugen, können sekundäre Glanzbildner dies leisten. Allerdings erhöhen sekundäre Glanzbildner auch die inneren Spannungen der Schicht, weshalb der Einsatz der Stoffe auf die zu erzielenden Eigenschaften der Schicht abgestimmt werden sollte.
Als Kathode für die durchgeführten Untersuchungen wurde eine Matrize für Schallplatten herangezogen. Bei diesen liegt der Abstand zwischen den Höhen bei etwa 45 µm bis 50 µm und die Rillentiefe bei etwa 5 µm. Bei der Verwendung dieses Substrats ist durch die kombinierte Zusatzzugabe eine drastische Reduzierung der Rauheit erzielbar. Durch XRD-Messungen lässt sich zudem der Einbau der Zusätze feststellen. Des Weiteren wurde die Farbe als Kennwert für die Lichtreflexion genutzt. Auch hier lässt sich eine Aussage zur steigenden Helligkeit der Schichten nachweisen, beispielsweise einer Farbverschiebung von Gelb nach Blau. In weiteren Untersuchungen wurde zum Beispiel die Änderung der Stromausbeute durch die Zugaben bestimmt. Wichtig ist in diesem Hinblick vor allem auch die passende Kombination der Zusätze.
Nickel-Phosphor-Abscheidung mit hohen Stromdichten
Einen Einblick in die praktische Umsetzung bei der Abscheidung von Nickel-Phophor bei hohen Stromdichten bot Steffen Habekuß, Technic Deutschland GmbH. Besonders begehrt ist die Eigenschaft, dass Nickel durch das eingebaute Phosphor von magnetisch zu nicht-magnetisch wechselt sowie eine hohe Verschleiß- und Korrosionsbeständigkeit besitzt. Wie REM-Untersuchungen zeigen, weist eine Nickel-Phosphor-Schicht mit 6 % Phosphor laminare Strukturen auf wie gewöhnliches Nickel, bei 11 % hat sich diese Erscheinung deutlich gewandelt. Zur Beurteilung der Beständigkeit der Schichten werden die Verschleiß- und die Korrosionsbeständigkeit als wichtigste Eigenschaften herangezogen. Dabei wird in der Regel eine Mehrfachschicht, zum Beispiel mit Nickel als Unterschicht, eingesetzt. Als weitere positive Eigenschaft ist die Lötbarkeit von Nickel-Phosphor zu nennen.

Je nach Phosphorgehalt in der Nickel-Phophor-Schicht ändert sich die Struktur der Schicht, links mit 6 % Phosphor, rechts mit 11 % (5000fach) (Bild: S. Habekuß)
Auch wenn die Eigenschaften der Schichten sehr positiv sind, findet das System bisher kaum Einsatz. Vorteilhaft wäre es zum Beispiel für die Bandbeschichtung, bei der jedoch die üblichen Stromdichten zu gering sind. Bei einer Erhöhung der Stromdichte beim Einsatz eines üblichen Nickel-Phosphor-Elektrolyten nimmt der Anteil an eingebautem Phosphor deutlich ab. Um höhere Stromdichten zu nutzen, kann einem standardmäßigen Elektrolyten auf der Basis von Nickelsulfat Phosphorsäure oder eine vergleichbare Phosphorquelle zugegeben werden. Untersucht wurde bei einem derartigen Elektrolyten zum Beispiel der Einfluss der Umwälzung des Elektrolyten sowie des pH-Werts. Sowohl der steigende pH-Wert als auch die erhöhte Stromdichte führen zu einem höheren Anteil an Phosphor in der Schicht. Allerdings ist zu berücksichtigen, dass die Erhöhung der Parameter den Einbauanteil des Phosphors verändert. Bei einer Stromdichte von 25 A/dm2 konnten mit dem angepassten Elektrolyten Phosphorgehalte von etwa 12 % mit geringer Streuung hergestellt werden. Neu ist inzwischen auch die mögliche Vermessung der Schicht im Hinblick auf deren Zusammensetzung aus Nickel und Phosphor mittels Röntgenfluoreszenz.
Chemische Nickelabscheidung bei 75 °C
Dr. Iulia-Cornelia Baciu, Atotech Deutschland, stellte ein neues, chemisches Abscheidesystem für Nickel-Phosphor vor, das aufgrund einer niedrigeren Elektrolyttemperatur von 75 °C umweltfreundlich und weniger kostenintensiv ist. Dieses Systems wurde bereits bei einigen Kunden in der Betaphasenversion getestet und wird in Kürze offiziell in den Markt eingeführt. Durch die geringere Temperatur lassen sich etwa 20 % bis 30 % Energie einsparen. Zugleich werden weniger Nickel und Ammoniak durch Aerosole in die Umgebung abgegeben.
Zum Einsatz kommt der Elektrolyt für Phosphorgehalte von 5 % bis 10 %. Zudem geht aufgrund der niedrigeren Arbeitstemperatur während Stillstandszeiten auch weniger Energie verloren, woraus sich eine Energieeinsparung von aufsummiert 30 % ergibt. Diese Einsparung lässt sich für die Verringerung des CO2-Fußabdrucks heranziehen. Mit dem neuen System hat die Atotech nach Eliminierung von Blei als Stabilisator einen weiteren Schritt beim Angebot an chemischen Abscheideverfahren vollzogen.
Zum Einsatz kommt das System vor allem zur Beschichtung von Nichtleitern. Dafür musste für das System der optimale Arbeitsbereich aus Temperatur, pH-Wert und Zusätze ermittelt werden. Mit dem Prozess können etwa 15 µm pro Stunde abgeschieden werden. Bei 3 MTO wird eine Abscheiderate von 13 µm bis 14 µm pro Stunde erzielt, wobei lediglich geringe Mengen an Ammoniak zugegeben werden müssen. Die Phosphorgehalte bleiben über die Lebensdauer relativ konstant bei 5 % bis 6 %.
Zur Analyse eignet sich vor allem die Bestimmung des TOC-Gehalts. Anfangs wurde eine Abnahme des Glanzgehalts über das Alter des Elektrolyten festgestellt. Inzwischen konnte das System so verbessert werden, dass von einer glanzerhaltenden Eigenschaft gesprochen werden kann. Die Härte der Schichten liegt bei etwa 600 HV und der Verschleiß liegt bei den für mittelphosphorhaltigen Schichten üblichen Werten. Die Korrosionstests entsprechen den Anforderungen des Markts. Zum Einsatz kommt der Elektrolyt bei allen üblichen metallischen Substraten. Bügeltests werden ohne Einschränkungen bestanden.
Plasmaelektrolytische Oxidation von Stählen
Dr.-Ing. Roy Morgenstern, Technische Universität Chemnitz, stellte sich der Frage, auf welche Weise die Deckschichtbildung zu Beginn der plasmaelektrolytischen Oxidation von Stählen in Elektrolyten erfolgt – ob es sich um Passivierung oder Fällung handelt. Für diesen Prozess untersuchte der Vortragende alkalische Elektrolyte mit Aluminiumverbindungen. Während die plasmaelektrolytische Oxidation als Verfahren zur Herstellung von Schutzschichten bereits seit längerem im Einsatz ist, könnte diese Technologie auch bei Stahl als Haftgrund für Stahl-Kunststoffverbunde geeignet sein. Die erzeugte Oxidschicht auf Stahl zeichnet sich durch eine geringere thermische Ausdehnung, Erzielung einer guten Haftschicht für Kunststoff sowie einen besseren Korrosionsschutz aus.
Als Vorteil der plasmachemischen Oxidation gilt unter anderem, dass bei den höheren elektrischen Spannungen in Verbindung mit einer Gasbildung aufgrund von elektrischen Funken ein Aufschmelzen der Oberflächenzone stattfindet, im Falle von Aluminium als Substrat mit sehr guten Ergebnissen. Bei Stahlsubstraten kann eine Oxidschicht bei Einsatz von silikathaltigen Elektrolyten erzeugt werden.
Auf Eisenwerkstoffen lässt sich unter Einsatz von aluminiumhaltigen Elektrolyten eine Deckschicht aus Aluminiumoxid herstellen. Im Gegensatz zu Aluminiumsubstraten sind Spannungen von wenigen 100 mV ausreichend, um die gewünschte Plasmaoxidation in Gang zu setzen. Zur Aufklärung der Vorgänge wurde mit einer speziellen Versuchsvorrichtung ein Stahl in alkalischen, phosphathaltigen Elektrolyten untersucht. Dafür wurden pH-Werte von 12 und 11,5 gewählt. Mit dem Verfahren wurden dünne, nicht sichtbare Schichten erzeugt, bei denen es sich sehr wahrscheinlich um eine Oxidschicht handelt. Das Verfahren eignet sich für eine gezielte Vorpassivierung von hochfesten Stählen.
Galvanische Schichten und Gasphasenschichten im Verbund
Häufig werden entweder galvanische oder Gasphasenschichten für die unterschiedlichen funktionellen Einsatzfälle genutzt. Mit der Kombination der beiden Schicht- beziehungsweise Verfahrenstypen befasst sich Lukas Grohmann von der Technischen Universität Ilmenau. Die Motivation zur Herstellung der Schichtkombination liegt für Grohmann beispielsweise in einer geforderten hohen Temperaturbeständigkeit unter hohen Belastungen, wobei die Temperaturen über 1000 °C liegen. Bisher sind Gasphasenschichten vor allem als Reib- und Verschleißschutz mit Dicken von deutlich unter 1 µm gebräuchlich, ohne den Einsatz galvanischer Schichten.
Für eine Kombination der beiden Schichtvarianten wurde Stahl mit Nickel beschichtet, darauf wurden zwei Varianten an PVD-Schichten sowie eine CVD-Schicht aufgebracht. Die Gasphasenabscheidung wurde zur Herstellung von Titannitrid (TiN) genutzt. Die verschiedenen Schichttypen zeigen deutlich unterschiedliche Morphologien wobei die Dicken zwischen 1 µm und 8 µm liegen. Auf die Titannitridschicht wurde zusätzlich eine Goldschicht galvanisch abgeschieden. Hierbei wurde festgestellt, dass die Goldschicht unterschiedlich gut die PVD/CVD-Schicht abdecken konnte.
Die so hergestellten Schichten wurden auf die Haftfestigkeit der Goldschicht hin geprüft. Einflussgröße für die Haftung war unter anderem die eingesetzte Stromdichte beim Vergolden, aber auch die Schichtdicke. Die Schichtkombination wurde zudem einer Wärmebehandlung unterzogen, bei der eine Diffusion von Gold in Titannitrid festzustellen war. Eine durchgeführte Phasenanalyse (XRD) zeigt für die CVD-Technik die beste Abdeckung der Goldschicht.
TLP-Fügeverfahren
Dr. Heidi Willing vom fem Forschungsinstitut Edelmetalle + Metallchemie, stellte ein schonendes TLP-Fügeverfahren bei Temperaturen unter 150 °C vor; TLP steht für Transient Liquid Phase. Dieses Fügeverfahren kommt zum Beispiel in der Mikrosystemtechnik oder der Kunststofftechnik bei Bauteilen zum Einsatz, die temperaturempfindlich sind. Die Technologie steht in Konkurrenz zum Weichlöten, Kleben oder Sintern, die alle bei Temperaturen unter 300 °C arbeiten. Bei dieser Technik geht der zuerst schmelzende Werkstoff in den flüssigen Zustand über und der höher schmelzende Werkstoff diffundiert in den geschmolzenen; bei den schmelzenden Werkstoffen handelt es sich um Indium oder Zinn.

In Frage kommende binäre TLP-Systeme (Bild: H. Willing)
Durch Silber als Legierungspartner kann der Schmelzpunkt zum Beispiel gesenkt werden. Ein ternäres System ist Indium-Zinn-Silber, mit dem dann Schmelztemperaturen von 150 °C erzielt werden. Damit werden eine gute Formschlüssigkeit sowie ein deutlicher Vorteil durch geringeren Energiebedarf erzielt. Das ternäre System zeichnet sich zudem durch Phasen mit hoher Wärmebeständigkeit aus. Die gesamten Untersuchungen und Entwicklungen wurden im Rahmen eines institutsübergreifenden Projekts durchgeführt. In dem Projekt wurde daran gearbeitet, Folien aus den Werkstoffen durch galvanische Abscheidung herzustellen beziehungsweise auch Bauteile direkt mit den Lotwerkstoffen zu beschichten.
Neben Legierungsschichten wurden Einzelschichten aus den Metallen erzeugt, die sich im Falle von Indium und Zinn auch ohne Wärmeeinfluss vermischen. Mit den hergestellten Folien beziehungsweise Schichten wurden Bondversuche durchgeführt, um Chips auf Leiterplatten zur befestigen. Die gebondeten Bauteile wurden unter Einsatz der Computertomografie und durch Haftfestigkeitsmessungen charakterisiert. Mit den Untersuchungen konnte die Eignung der galvanischem Metallabscheidung zur Herstellung der Fügeflächen und der Verbindung belegt werden.
Neue Anforderungen an die Oberflächentechnik
Normung – aktueller denn je
Auch wenn Normen häufig als verpflichtende Anweisungen wahrgenommen werden, die das Leben schwer machen, so stellen sie doch eine wichtige Grundlage dar, um Produzenten ihre Arbeit deutlich zu erleichtern oder den Verbrauch an wertvollen Ressourcen und Energie einzuschränken, um nur einige Fakten zu nennen. Im Bereich der Oberflächentechnik befassen sich Tina Gläsel und Karl Morgenstern mit dem Normenwesen. Normen dienen unter anderem dazu, Vertragssicherheit zwischen Auftraggeber und Auftragnehmer oder abgestimmte Produktions- und Arbeitsabläufe zu gewährleisten. Schließlich unterstützen sie den Transfer von technisch-wissenschaftlichen Erkenntnissen. Aktuell sind nach Aussage der Vortragenden insbesondere in Europa abnehmende Zahlen an Mitwirkenden im Normenwesen zu verzeichnen. Dadurch besteht die Gefahr, dass der Einfluss der europäischen Unternehmen auf die Gestaltung von Produkten deutlich sinkt und damit die Wettbewerbsfähigkeit der Industrie abnimmt. Aus diesem Grund ist es notwendig, mehr Unternehmen und deren Mitarbeitende für die Arbeit im Normenwesen zu begeistern.
Das Galvanik-Management-System der BGS
Eine durchdachte Betriebsorganisation sollte für jedes Unternehmen eine Selbstverständlichkeit sein. Die gängigen Managementsysteme wie Qualitätsmanagement, Umweltmanagement oder zahlreiche andere eignen sich nach Aussage von Oliver Brenscheidt, Brenscheidt Galvanik Service (BGS), zur Selbstvergewisserung. Es ist aber nicht für jedes Unternehmen klar erkennbar, dass sich der Aufwand dieser Systematiken wirklich lohnt, das heißt, es sich für das Unternehmen rechnet. Insbesondere kleinere Inhouse-Galvaniken, die vielleicht schon seit vielen Jahren ihre Dienste anbieten, unterliegen häufig einem Management nach dem Motto Das war schon immer so. Die Unternehmensleitung sieht dann oft keinen Bedarf, sich mit Themen wie Wissenssicherung zu beschäftigen.
Durch die Erfahrung im Bereich des Qualitätsmanagements konnte die BGS die Essenz aus den Anforderungen all dieser Systeme destillieren. Herausgekommen ist ein schlankes, theoretisch analog umsetzbares System, das den Betrieb einer Galvanik beschreibt und Werkzeuge zur Verfügung stellt, um das Produktionsergebnis auf einem definierten Niveau zu halten. Das System ist so angelegt, dass es jederzeit zu einem vollwertigen Managementsystem ausgebaut werden kann. Wichtige Grundlagen, zum Beispiel zum Umgang mit Behörden, bilden die Basis für die Dokumentation. Dabei ist es so konzipiert, dass es analog oder mit einfachen Office-Anwendungen funktioniert.
Grundprinzip ist immer die strikte Trennung von Produktion und Wartung. Die Produktion kann auch ohne tiefere Kenntnisse der Beschichtungstechnologie aufrechterhalten werden, während die Instandhaltung ganz oder teilweise durch eigenes oder externes Fachpersonal abgebildet wird. Dies ist insbesondere im Hinblick auf den sich verschärfenden Fachkräftemangel auch strategisch eine wichtige Basis für die Zukunft. So kann theoretisch auf den Einsatz von Fachpersonal ganz oder teilweise verzichtet werden. Redundanzen können vermieden werden.
Materialverträglichkeit bei Wasserstoffanwendung
Neue Herausforderungen ergeben sich derzeit durch die zunehmende Anwendung von Wasserstofftechnologien, mit denen sich Patricia Preikschat, presch matters GmbH, befasst, speziell der Wasserstoffverträglickeit von Werkstoffen. In welchem Umfang die Wasserstofftechnologie unter Einsatz der Elektrolyse in den nächsten Jahren voraussichtlich zunehmen wird, kann ihren Ausführungen zufolge Daten der Einrichtung IRENA (International Renewable Energy Agency) entnommen werden. Die dort enthaltenen Zahlen zum Einsatz von grünem Wasserstoff bei der Energiewende gehen von starken Steigerungsraten aus. Interessant ist hierbei die Feststellung, dass der größte Teil des Wasserstoffs in Afrika erzeugt wird. Ebenfalls beeindruckend ist die Feststellung, dass die prognostizierte Menge an Wasserstoff der 20-fachen Energie dessen entsprechen, was aktuell verbraucht wird.

Mögliche Barriereschichten gegen Diffusion von Wasserstoff durch Behälterwände in REM-Ansicht aus Ti-AlN-Multilagen (a und b) sowie die MAX-Phase Ti2AlN (c und d; jeweils in Aufsicht und Bruchkante) (Bild: P. Preikschat/Fraunhofer IWM)
Für die Erzeugung, Verteilung und Lagerung von Wasserstoff werden zahlreiche Komponenten eingesetzt, die in Berührung mit Wasserstoff kommen. Problematisch ist hierbei nicht die Wasserstoffversprödung, sondern ein latente Explosionsgefahr; hinzu kommt eine hohe Neigung zur Diffusion. Nachteilig ist hier die niedrige volumenbezogene Energiedichte. Dies macht den Einsatz von Drucktanks erforderlich, die im Idealfall mit einer Barriere für die Materialoberfläche aus Wolfram ausgestattet werden könnten. Aktuell sind auf dem Markt vier unterschiedliche Typen von Tanks in unterschiedlichen Ausführungen für Drucke zwischen 200 bar und 700 bar erhältlich.
Die erhältlichen Varianten von Tanks basieren auf unterschiedlichen Kombinationen; meist handelt es sich um Kunststoffmantel mit Beschichtungen, aber auch Schichtkombinationen mit elektrochemisch arbeitenden Kombinationen für vollständige Diffusionssperren. Als Barrieren kommen des Weiteren MAX-Phasen zur Anwendung.
In einem neuen Projekt werden Verfahren der Galvanotechnik in Form der Metallabscheidung und Anodisation auf deren Einsatzfähigkeit hin untersucht. Derzeit wird geprüft, welche Varianten sich für die Anwendung in der Wasserstofftechnik eignen.
Wasserstoffversprödung in der Vorbehandlung – Ausblick auf die DIN-Norm 50940
Die Vorbehandlung (Entfetten + Beizen) von Metallteilen in Beschichtungsprozessen ist ein wesentlicher Erfolgsfaktor für eine applikationsgerechte Schichthaftung. Jens Riedel, iChemAnalytics GmbH, zufolge ergeben sich hierbei eine Reihe von Fragen, beispielsweise bezüglich des Einsatzes von Beizinhibitoren, deren Charakterisierung, deren Funktion zur Vermeidung von Wasserstoffversprödung oder der Auslösung von Wasserstoffversprödung bei bestimmten Werkstoffen.
Viele Arbeiten sind in der Vergangenheit diesen Fragen nachgegangen, aber bis heute haben sich trotz vieler wissenschaftlicher Erkenntnisse keine allgemeingültigen prozessbegleitenden Prüfmethoden durchgesetzt. Den Erfahrungen des Vortragenden zufolge gibt es auch bis heute keine allgemeingültigen Werkstoffkennwerte, welche die Werkstoffsensitivität gegenüber einer möglichen Wasserstoffversprödung beschreiben. Aktuelle Arbeiten an der neuen DIN-Norm 50940 Teil 2 sollen hier für mehr Anwendungssicherheit bei Kunden und Lieferanten in der Beurteilung und Anwendung unter anderem von Beizinhibitoren sorgen. Jens Riedel stellte die entscheidenden Teile der Norm vor und befasste sich im Weiteren mit den dort genannten Prüfverfahren und deren Bedeutung für die Prozessüberwachung, aus denen die Ableitung eines materialspezifischen Prozesskennwerts möglich ist. Diese Überlegungen stützen sich auf Ergebnisse aus Wasserstoffpermeationsversuchen, gekoppelt mit der Wasserstoffanalyse mittels Thermodesorptionsanalyse (TDA) sowie Verspannungsversuchen an mit Wasserstoff beladenen Proben unter Berücksichtigung der mechanischen Werkstoffeigenschaften.
Dekorative Verchromung
Dr. Sven Neudeck, SurTec International GmbH, stellte eine Prozessfolge von der Vorbehandlung bis zur Endschicht in der Kunststoffbeschichtung ohne den Einsatz von sechswertigem Chrom vor. An zwei Stellen dieses Prozesses kann Chrom(VI) verwendet werden: bei der Vorbehandlung des Kunststoffs und der Chromabscheidung. Für die Chromschicht werden inzwischen nahezu ausschließlich Elektrolyte mit Chrom(III) eingesetzt, zum Beispiel auf Basis von Sulfat, die Schichten mit vergleichbaren Eigenschaften zu Chrom(VI)oberflächen ergeben. Neben der Erfüllung der REACh-Vorgaben weisen die Verfahren den Vorteil einer energieeffizienteren Abscheidung auf.

Ätzbilder (REM) im Vergleich bei ABS mit der neuen Prozessfolge (oben) sowie der bisher üblichen Behandlung mit Chrom(VI) (unten) (Bild: S. Neudeck)
Bisher noch nicht zufriedenstellend gelöst werden konnte die Vorbehandlung des Kunststoffs. Im Unternehmen des Vortragenden wird auf ein Verfahren aus Japan zurückgegriffen. Bei dem neuen Verfahren wird im ersten Schritt ein Quellprozess durchgeführt. Anschließend wird der Queller durch gründliches Spülen entfernt. Der Beizprozess besteht aus einem Konditionierer, dem eigentlichen Beizen unter Einsatz von Silberverbindungen und einer Neutralisierung gefolgt von Spülvorgängen. Die Beschichtung wird in der Regel mit chemisch abscheidendem Nickel gestartet. Die Überwachung der Prozessstufen kann unter Einsatz von Standardverfahren der Nassanalyse vorgenommen werden.
Der Beizprozess basiert auf Manganverbindungen, der Einsatz von Palladium für die Bekeimung kann entfallen; zudem kann auf den Einsatz von per- oder polyfluorierten Alkylverbindungen (PFAS) verzichtet werden. Insgesamt umfasst die Vorbehandlung eine geringere Anzahl an Prozessschritten. Die Zusammensetzung der Konditionierung und Ätzung arbeitet mit relativ hohen Silber- und Schwefelsäurekonzentrationen. Die Beizbilder unter Einsatz von Chrom(VI) und des neuen Verfahrens sind vergleichbar.
Eingesetzt werden kann die Technologie für die bisher üblichen Kunststoffe sowie in guter Qualität für die notwendigen Geometrien. Für bestimmte Kunststoffe befindet sich das Verfahren in der Optimierungsphase. Gute Ergebnisse wurden auch bei selektiven Kunststoffbeschichtungen beziehungsweise bei bedruckten Substraten erzielt. Ebenso gute Ergebnisse zeigten die beschichteten Teile bei Schocktests mit Temperaturwechseln zwischen +80 °C und -40 °C.
Grundlagenforschung zur Digitalisierung galvanischer Prozesse
Einen Überblick über die Beiträge der Grundlagenforschung zur Digitalisierung von galvanischen Prozessen gab Prof. Dr. Bund, Technische Universität Ilmenau; er zeigte einführend Beispiele von für die Galvanotechnik relevanten Prozessen und deren Umsetzung in die Praxis. Eine Herausforderung für die Digitalisierung ist die komplexe Prozess-Struktur-Eigenschaftsbeziehung. Für die Beschreibung werden zum Beispiel energetische Zusammenhänge aus der Thermodynamik und Kinetik benötigt. Werden diese Beziehungen detailliert dargestellt und in Formelbeziehung gesetzt, entstehen sehr komplizierte Zusammenhänge.
Ein anderer Ansatz beruht auf umfangreichen Messungen und deren datentechnische Bewertung und Auswertung (z. B. in Richtung maschinelles Lernen oder künstliche Intelligenz), Stichwort Ontologie. Herausfordernd im ersten Schritt ist es, die Zusammenhänge und Abläufe der menschlichen Kenntnis in die Sprache eines elektronischen Systems (Computer) zu übersetzen. Um diesen Ansatz in die Praxis zu überführen, werden zunächst Aufbauten und Messverfahren benötigt, die reproduzierbare Daten liefern. Diese Daten werden in relationalen Datenbanken gespeichert und verarbeitet. Zeitreihenbasierte Datenbanken eignen sich für die Verarbeitung der sich ändernden Messwerte.

Möglicher Workflow und Ontologie der galvanischen Verchromung (Bild: A. Bund)
Diese Technologie wurden zum Beispiel für die Führung eines elektrochemisch abscheidenden Nickelelektrolyten angewandt. Von Vorteil ist, dass durch die Erstellung von Funktionsgleichungen für alle Bestandteile nicht mehr alle Bestandteile gemessen werden müssen, um einen optimalen Betrieb des Verfahrens zu gewährleisten. Ein weiteres Anwendungsprojekt war die Herstellung von Korrosionsschutzschichten für Komponenten für PEM-Elektrolyseure. Bei diesen werden Stahlgrundplatten mit Nickel und Zinn-Nickel beschichtet. In Vorbereitung ist ein Projekt, bei dem die galvanische Verchromung nach diesen Überlegungen bearbeitet wird. Ein neutrales Netzwerk aufzubauen, das wie eine galvanische Fachkraft die Verfahrenstechnik erlernt, ist Dr. Bund zufolge die Zukunft.
Metaverse und digitaler Zwilling
Digitale Zwillinge bilden physische und nicht physische Dinge aus der realen Welt in der digitalen ab. Das Metaverse steht für die Verschmelzung der digitalen mit der physischen Welt. Dadurch wird es unter anderem möglich, so die Auffassung von Dr. Ingolf Scharf, ProtectCoat Oberflächentechnologie UG, Prozesse zu gestalten, zu optimieren oder zu analysieren und damit Fehler zu identifizieren. Je nach Art des zugrunde liegenden Modells lassen sich auch Vorhersagen für neue Situationen gewinnen.
Mess- und Prüfverfahren für Schichten und Schichtsysteme
Die Funktionalität von modernen technischen Komponenten liegt meist in der Oberfläche und in Beschichtungen begründet. Design und Herstellungsqualität von Beschichtungen sind essenziell für die optischen, elektrischen, mechanischen und chemischen Eigenschaften von Bauteilen sowie für den Korrosions- und Verschleißschutz. Das Gremium, in dem unter anderem die Referenten Dr. Andreas Hertwig, Bundesanstalt für Materialforschung und -prüfung (BAM), und Stephan Osterwald, Diehl Metal Application, mitwirken, bearbeitet Normen für die Qualitätssicherung von dünnen Schichten verschiedener Art. Dafür werden Eigenschaften wie Schichtdicke, Zusammensetzung, Haltbarkeit, Korrosionsbeständigkeit und physialische Parameter von dünnen Schichten mit unterschiedlichen Messverfahren charakterisiert. Durch die Erfassung der Messverfahren und die Durchführung entsprechender Messungen wird die Qualität von Produkten gewährleistet und wirtschaftliche Schäden werden vermieden. Beispiele sind Goldschichten auf elektronischen oder dekorativen Bauteilen oder der Aufbau von galvanischen Mehrlagenschichten auf Kunststoffbauteilen, für die allesamt entsprechende Normen vorliegen. Entscheidend ist nach Aussage der Vortragenden, dass sich Unternehmen und Fachleute an der Erstellung von Normen aktiv beteiligen.

Überwachung von Prozessen mit dem genormten STEP-Test (Bild: A. Hertwig)
Prozess- und Produktoptimierung durch gezielte Datenauswertung
Johannes Spahn, BAG Analytics GmbH, stellte die Ergebnisse einer Marktbefragung zur Nutzung von Elementen der Digitalisierung bei Unternehmen im Bereich der Oberflächentechnik vor. Von den befragten Unternehmen beschäftigen etwa 40 Prozent über 50 bis 250 Mitarbeitende, etwa 24 Prozent sind kleinere Unternehmen mit weniger als 50 Mitarbeitenden. Es zeigt sich, dass kleine Unternehmen lediglich mit ERP-Software in großem Umfang arbeiten, während die Digitalisierung in Produktion, Logistik, Labor und Lager eher beschränkt ist. Im Bereich Abwasser wird keine Digitalisierung eingesetzt.
Als Hauptaufgaben der Digitalisierung werden Punkte wie Auftrags- und Produktnachverfolgung, Prozesssicherheit, Effektivitätssteigerung, Automation oder Qualitätssteigerung gesehen. Finanzielle Einsparungen, der Nachweis von Nachhaltigkeit oder die Reduktion von Emissionen stehen dagegen nicht im Fokus der Unternehmen. Als Hürden bei der Umsetzung von digitalen Technologien werden Komplexität, Widerstand gegen Veränderungen oder Schwierigkeiten bei der Integration in bestehende Systemen genannt.
Am Beispiel eines Betriebs zeigte der Referent, wie durch die geschickte Kombination von Produktions-, Qualitäts- und Analysedaten eine Steigerung der Produktqualität, verbunden mit einer deutlichen Reduktion von Chemikalien- und Energieverbräuchen umgesetzt werden kann. Neben der Produktion und dem Qualitätsmanagement werden bei dem vom Vortragenden vorgestellten System auch die administrativen Betriebsbereiche einbezogen.
4D-Radarantennen für Fahrassistenzsysteme und autonomes Fahren – Anwendung für Kunststoffgalvanik
Die Hochfrequenztechnik ist geradezu prädestiniert für moderne, technische Oberflächenbeschichtungsverfahren. Hochauflösende Radarsensoren für Fahrzeuge arbeiten bei Wellenlängen, deren Eindringtiefe bei Kupfer- oder Silberoberflächen nicht mehr als einen Mikrometer beträgt. Damit ist nach Aussage von Dr. Jürgen Hofinger, Biconex GmbH, die galvanische Abscheidung ein ideales Verfahren zu Herstellung der benötigten Leitungsstrukturen.
Der Transport der Signale erfolgt nicht in üblichen metallischen Leitern, sondern in sogenannten Hohlleitern, komplexen Kunststoffbauteilen mit hochleitfähigen Oberflächenbeschichtungen. Aufgrund der hohen mechanischen und thermischen Anforderungen werden dafür bevorzugt PPS-Kunststoffe verwendet.
Der Vortragende stellt eine neue Methode zur Herstellung dieser Bauteile über die chemisch galvanische Beschichtung von Spritzgussteilen vor. Das Verfahren zeichnet sich durch eine besonders kurze Prozessstrecke sowie einen niedrigen Ressourcen- und Energieverbrauch aus. Gegenüber alternativen Verfahren können auch komplexe Strukturen besonders gleichmäßig beschichtet werden. Darüber hinaus werden dem Referenten zufolge höhere Oberflächenqualitäten und Haftfestigkeiten erreicht.
Hinweis: In WOMag 9/2023 wird die Technologie in einem Aufsatz von Dr. Hofinger ausführlich beschrieben.
Festoxidbrennstoffzellen für Luftfahrtanwendungen
Airbus hat das Ziel, bis 2035 ein emissionsfreies Verkehrsflugzeug zu entwickeln und in Dienst zu stellen (ZEROe). Die drei in 2020 vorgestellten ZEROe-Konzepte beruhen auf der Verwendung von Wasserstoff für den Flugzeugantrieb.
Wie Oliver Rohr, Airbus Defence and Space GmbH, ausführte, wird bei Airbus CRT, der Forschungsabteilung von Airbus, in Forschungsprojekten die Verwendung von Festoxidbrennstoffzellen (SOFC) für Luftfahrtanwendungen erforscht. Die SOFC bietet einige Vorteile für das hybride oder elektrische Fliegen, wie einen hohen elektrischen Wirkungsgrad oder die Verwendung von verschiedenen Brennstoffen.

Vergleich unterschiedlicher Geometrien von Brennstoffzellen, wie sie für die Luftfahrt zur Auswahl stehen (Bild: O. Rohr)
Für stationäre Anwendungen hat sich die SOFC-Technologie bewährt und weist einen hohen Reifegrad auf. Für Luftfahrtanwendung sind sie jedoch zu groß und zu schwer. Bei Airbus CRT werden deshalb neue SOFC-Designs entwickelt, um die gravimetrische und volumetrische Leistungsdichte signifikant zu erhöhen. Dies erfordert auch die Weiterentwicklung von Fertigungs- und Beschichtungsverfahren wie 3D-Drucken und Slurry Dip Coating. Inzwischen konnten zum Beispiel durch den Einsatz von 3D-Druck deutliche Verbesserungen in Bezug auf das Gewicht der Brennstoffzellen sowie der Effektivität der Zellen erzielt werden.
Auslegung von Kathodenluftfiltern
Der negative Einfluss von luftgetragenen Schadstoffen wie SO2, NH3, NOx und H2S auf die Lebensdauer von LT-PEM-Brennstoffzellen muss durch spezifisch auf die Schadstoffe angepasste Luftfilter im Betrieb möglichst geringgehalten werden. Je nach Luftzusammensetzung kommen verschiedene Adsorber in unterschiedlichen Mischungsverhältnissen zueinander zum Einsatz. Um die Zusammensetzung sowie das Wechselintervall des Filters exakt bestimmen zu können, sind detaillierte Bestimmungen der Konzentration der relevanten Schadgase in hoher räumlicher und zeitlicher Auflösung wichtig.
Dr. Ann-Kathrin Egetenmeyer vom fem Forschungsinstitut Edelmetalle + Metallchemie befassst sich im Rahmen eines Projekts mit der Entwicklung von Sensoren für die Schadgasanalyse, insbesondere mit einem Durchbruchsensor-Array für Kathodenluftfilter. Hierzu werden verschiedene gassensitive Schichten abgeschieden und auf ihre Eignung hin umfangreich charakterisiert. Um die Sensitivität, Selektivität und Stabilität der Gassensoren zu steigern, werden elektrochemisch abgeschiedene intrinsisch leitfähige Polymere in Kombination mit Metallpartikeln betrachtet. Als Metalle kommen Palladium, Silber, Zinn und Kupfer in Betracht, die sich gut mit galvanotechnischen Systemen abscheiden lassen. Auch das eingesetzte leitfähige Polymer Anilin wird mit einer ähnlichen Methode, der Elektropolymerisation, in dünnen Schichten auf dem Trägermaterial für den Sensor aufgebracht. Neben einer simultanen Polymer/Metallabscheidung werden sequentielle Abscheideprozesse verwendet. Geeignete Einzelsensoren werden zu einem Array zusammengestellt.

REM-Aufnahme einer Polyanilinschicht auf einer IDE-Elektrode (Bild: A.-K. Egetenmeyer)
Ergänzende Technologien
Einsatz von Online-Analysenverfahren – Erfahrungsbericht
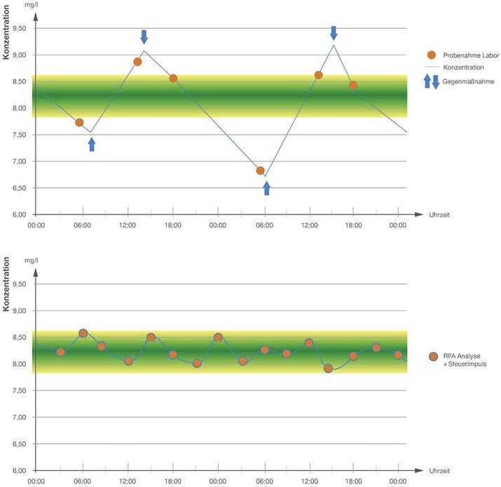
Monika Hofmann-Rinker, B+T K-Alpha GmbH, befasst sich mit der Entwicklung von Geräten und Systemen zur Online-Analytik im Bereich der Nasschemie und speziell für die galvanische Metallabscheidung. Wie sie einführend betonte, stehen im Gegensatz zur Laboranalyse die Messergebnisse der Online-Analytik mit einem äußerst geringen Zeitversatz zur Verfügung.

Bei einer klassischen Laboranalyse ist ein zeitlicher Versatz (z. B. 1 Stunde) zwischen Probenahme und Ergebnis gegeben, so dass ein ungünstiger Konzentrationsverlauf möglich ist (oben), während bei einer online-Analyse mit direkter Steuerung von Dosiereinrichtungen mit einer deutlich geringeren Konzentrationsschwankung gearbeitet wird (Bild: M. Hofmann-Rinker)
Dadurch kann nach ihrer Überzeugung aus der Steuerkette Beschichtung mit der Einflussgröße Konzentration ein Regel- und Steuerkreis Metallkonzentrationen gebildet werden, wodurch wiederum die Einflussgröße Konzentration annähernd konstant gehalten werden kann. Bei der klassischen Laboranalytik liegt der Zeitversatz zwischen Probenahme und Erhalt des Analysenergebnisses im Bereich von wenigen Stunden, wodurch die Konzentration von Bestandteilen eines Elektrolyten erhebliche Abweichungen erfahren kann – es entsteht ein sägezahnartiger Konzentrationsverlauf.
Mit Hilfe einer automatisierten Analysentechnik können die Intervalle aus Probenahme und Analyse deutlich verkürzt und so ein nahezu konstanter Konzentrationsverlauf erzeugt werden. Daraus ergeben sich in der Regel neben dem geringeren Aufwand für das Analysenpersonal eine deutlich bessere Produktqualität sowie häufig eine Einsparung von Ressourcen. Durch die gezielte Lenkung des Sollwerts innerhalb der kundenspezifischen Vorgaben nach dem ProStab-ProOp-Prinzip ist es zudem möglich, bei gleichbleibender Qualität Ressourcen einzusparen und die Umwelt zu schonen.
Innovation im Zinkdruckguss
Zinkdruckgussteile werden in vielen Bereichen des täglichen Lebens (Automobil-, Maschinen- und Gerätebau, Möbel- und Elektroindustrie) eingesetzt. Durch die Entwicklung einer neuartigen, dauerhaft beständigen Werkzeugbeschichtungstechnologie (plasmapolymeren Trennschichten), mit der sich Alireza Moazezi vom fem Forschungsinstitut Edelmetalle + Metallchemie befasst, können die Taktzeiten und Kosten von Nachbehandlungsverfahren (Schleif- und Polierprozesse) für die Herstellung der Bauteile aus Zinkdruckguss reduziert werden. Durch das Vermeiden von Trennmitteln lassen sich eine höhere Gussqualität durch Reduktion der Porosität und insbesondere eine höhere Oberflächensauberkeit erzielen.

Druckgußform zur Duchführung der Versuche in unterschiedlicher Politur (Bild: A. Moazezi)
Außerdem ermöglicht es diese Methode, aus dem Druckgießprozess Bauteile mit glänzenden Gussoberflächen in den Rauheitsklassen N1 bis N4 herzustellen. Dadurch können glanzbildende Beschichtungsprozesse, zum Beispiel Glanzkupfer, aus der üblichen Schichtfolge (cyanidisch Kupfer und Glanzkupfer, Nickel, Chrom) mit Gesamtschichtdicken von bis zu 25 µm bis 50 µm reduziert beziehungsweise eingespart werden. Die Gesamtschichtdicke kann hierbei auf etwa 20 µm reduziert werden, wodurch sich Ressourcen und Herstellkosten einsparen lassen. Aufgrund der deutlich verbesserten Qualität der Gussoberflächen und der geringeren Schichtdicken der Schichtsysteme sind die Voraussetzungen für die Herstellung von Bauteilen mit hoher Maßhaltigkeit gegeben, welche die Verwendung der Technologie für neue Anwendungen ermöglicht.
Silberschichten aus sauren Elektrolyten
Für eine effiziente und zuverlässige Übertragung von Signalen und Leistung sind für viele leistungsstarke elektronische Komponenten Kontaktoberflächen erforderlich, die eine hohe Leitfähigkeit, eine hohe Haltbarkeit, einen niedrigen Reibungskoeffizienten (COF) und eine thermische Stabilität gewährleisten. Hartgoldschichten weisen zwar hervorragende Korrosionsbeständigkeit und Verschleißeigenschaften auf, kommen jedoch aufgrund hoher Kosten nur bedingt zum Einsatz. Die Alternative Silber besitzt einen niedrigen Kontaktwiderstand bei deutlich geringeren Kosten, allerdings auch eine geringere Dauerbeständigkeit. Dr. Adolphe Foyet, DuPont, stellte in seinem Vortrag eine neuartige Silberkontaktbeschichtung mit hoher Verschleißfestigkeit, abgeschieden aus einem cyanidfreien, sauren Elektrolyten, vor.
Die so hergestellten Schichten zeigen über 10 000 Verschleißzyklen ohne externe Schmierung einen außergewöhnlich niedrigen Reibungskoeffizienten bei gleichbleibendem niedrigen Kontaktwiderstand, der für eine effiziente Strom- und Signalübertragung erforderlich ist. Außerdem besitzen die Schichten eine hervorragende thermische Stabilität und gute elektrische Eigenschaften, sodass Geräte mit derartigen Kontaktschichten bei höheren Betriebstemperaturen betrieben werden können.
Lichtinduzierte Platinabscheidung auf Halbleiterbauelementen
Mathias Fritz, Technische Universität Ilmenau, stellte Arbeiten zur Entwicklung der lichtinduzierten Platinabscheidung auf siliziumbasierten Halbleitern vor, die er im Rahmen seiner Promotionsarbeit durchführt. Solche Halbleiterbauelemente werden beispielsweise für die Gasanalyse genutzt. Bisher werden derartige Bauelemente mittels PVD-Technologie beschichtet; diese soll durch eine galvanische Technologie ersetzt werden. Ein dafür geeignetes Verfahren ermöglicht es, die Beschichtungstechnik auch für Solarzellen zur Herstellung der Ableitung auf die Zellenfront einzusetzen.
An Stelle einer sonst üblichen Ladungszufuhr über einen angelegten Stromkreis beziehungsweise der Verwendung von chemischen Reduktionsmitteln soll die Reduktion der Metallionen durch Lichteinstrahlung erfolgen. Spezielles Augenmerk liegt hierbei auf der Vorbehandlung des Siliziums für die anschließende Platinabscheidung unter Beleuchtung. Für die Abscheidung wurden einmal ein saurer und einmal ein alkalischer Elektrolyt herangezogen. Je nach Elektrolyttyp sind unterschiedliche Strahlungsintensitäten erforderlich. Detaillierte Untersuchungen zeigten bei den ersten Versuchen mit dem sauren Elektrolyten die Bildung einer störenden Siliziumdioxidschicht. Zwar wird bei der Verwendung eines alkalischen Elektrolyten eine bessere Anbindung erzielt, da die Oxidschicht bei hohen pH-Werten zerstört wird; allerdings wird Silizium wiederum zu stark angegriffen.
Gute Ergebnisse werden bei der Verwendung von Laserlicht erzielt, da durch die gute lokale Steuerung die Herstellung der Ableitungen für Solarzellen in hoher Qualität möglich wird. Zu berücksichtigen ist bei längeren Beschichtungsvorgängen, dass die entstandenen Keime sich seitlich zum Silizium hin ausdehnen. Diese Bereiche der Schicht weisen eine begrenzte Haftfestigkeit auf. Die Keimzahl lässt sich deutlich erhöhen, wenn die Stromdichte von 1 A/dm2 auf 100 A/dm2 erhöht wird. Die dabei entstehende hohe Zahl an Keimen wird nachfolgend bei geringer Stromdichte zu einer Endschicht verstärkt.
PEO von Magnesium
Die Identifikation parasitärer elektrochemischer Subprozesse bei der plasmaelektrolytischen Oxidation (PEO) von Magnesium war Thema des Vortrags von Frank Simchen, Technische Universität Chemnitz. Der Vortragende befasst sich seit längerem mit der PEO von Magnesium, sowohl im Hinblick auf die Schichteigenschaften als auch auf die dafür notwendigen Anlagentechniken beziehungsweise die dafür notwendige Sensorik. Wie er einleitend betonte, bietet Magnesium ein großes Anwendungspotential aufgrund seines geringen spezifischen Gewichts. Allerdings besitzt Magnesium eine geringe Korrosionsbeständigkeit, da Magnesiumoxid sehr rissanfällig ist.
Dieser Nachteil kann durch den Einsatz der plasmaelektrolytischen Oxidation beseitigt werden, da hierbei die Oxidschicht temporär aufgeschmolzen und so in einen geschlossenen Zustand gebracht wird. Dadurch entstehen kompakte Schutzschichten, was jedoch bisher nur auf Aluminium sicher machbar ist; bei Magnesium wird dies angestrebt. Hilfreich für die Untersuchungen über die Funktion des Schichtaufbaus ist die von Simchen entwickelte Prozessdiagnostik. Auf Magnesium weisen die Schichten oft zahlreiche morphologische Defekte auf, deren Formierung in parasitären Subprozessen während der PEO begründet liegt.
Für die Untersuchungen wurde ein Elektrolytsystem herangezogen, das auf Aluminium gute Ergebnisse liefert, und Spannungen bis 100 V erforderlich macht. Die Spannungen wurden im Wechsel aufgebracht, das heißt für eine gewisse Zeit Spannung gehalten, dann auf Null reduziert und dann wieder angelegt – als eine Art wechselnde Spannung mit sehr geringer Wechselfrequenz. Genaue Betrachtungen der Strom-Spannungs-Verhältnisse decken auf, dass die Schichten bei Absinken der Spannung elektrochemisch zerstört werden.
Einen Einfluss auf die Schichtbildung hat aber auch das Gleichrichterregelverhalten. Umfangreiche Messeinrichtungen ermöglichen die Erfassung einer größeren Anzahl an Kenngrößen, welche die zeitliche Variation von plasmachemischen und elektrochemischen Prozessen erkennbar machen. Im Vergleich zu Aluminium sind bei Magnesium die elektrochemischen Anteile deutlich größer.
Elektropolieren von Edelmetall
Der letzte Beitrag der Reihe über ergänzende Technologien von M. Lucia Nascimento, Technische Universität Ilmenau, stellte das Elektropolieren von Edelmetalllegierungen in ionischen Flüssigkeiten vor. Der Vorteil dieses Verfahrens liegt insbesondere im Vermeiden des Einsatzes von Cyaniden. Edelmetalle haben sehr hohe Oxidationspotenziale, so dass bisher nur Cyanide, Thioharnstoffe oder starke Säuren für das Elektropolieren eingesetzt werden konnten. Das Elektropolieren ist unumgänglich, um Bauteile für die Medizintechnik oder für die Luft- und Raumfahrt in der notwendigen Rauheit herstellen zu können. Erzielt werden damit Rauheiten mit Ra unter 100 nm und ein Angriff der Korngrenzen wird vermieden. Zu betonen ist, dass bei sehr rauen Oberflächen im ersten Schritt eine mechanische Politur erfolgen muss.
Das Funktionsprinzip des Elektropolierens beruht auf der Bildung einer hochviskosen Schicht auf der Werkstoffoberfläche, durch die bevorzugt Werkstoffspitzen aufgelöst werden. Bei den Untersuchungen der Vortragenden wurde mit einer tiefeutektischen Lösung gearbeitet, die bei Raumtemperatur flüssig ist. Dieser Elektrolyttyp ist gesundheitlich unbedenklich. Als Edelmetall kam Weißgold in Betracht. Ein ähnlicher Elektrolyt konnte bereits für Titan erfolgreich eingesetzt werden. Im ersten Schritt wurden mittels zyklischer Voltametrie die Parameter für die Stromdichte und Spannung ermittelt. In ionischen Flüssigkeiten lassen sich Edelmetalle anodisch auflösen und zudem wieder kathodisch zurückgewinnen.
Eigene Untersuchungen in einer Mischung aus Cholinchlorid und Ethylenglykol haben gezeigt, dass das Elektropolieren von Edelmetalllegierungen möglich ist. Herausforderungen bestehen bei der homogenen Auflösung des Materials. Interessant ist die Tatsache, dass die Einzelmetalle (Gold, Silber, Palladium) deutlich unterschiedliche Kennwerte für Strom und Spannung im ionischen Elektrolyt besitzen. Bei der Nutzung einer konstanten Spannung wurden zwar Verbesserungen der Rauheit erzielt, allerdings noch in zu geringem Umfang. Bessere Resultate ergaben sich bei Einsatz von Pulsstrom, wobei die Vortragende Schwierigkeiten bei der Umsetzung in eine Anlage erwartet.
-wird fortgesetzt-


(Bilder: ZVO/OT2023/S. Hobbiesiefken)